• Предмет: Алгебра
  • Автор: tem4ik10
  • Вопрос задан 10 лет назад

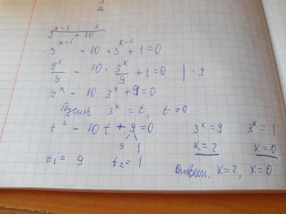
решите уравнение 9^x-1-10*3^x-2+1=0

Ответы

Ответ дал: Matemaster
0
Решение смотрите во вкладке.
Приложения:
Вас заинтересует