• Предмет: Математика
  • Автор: Skcubidy1804
  • Вопрос задан 10 лет назад

братцы помогите:3
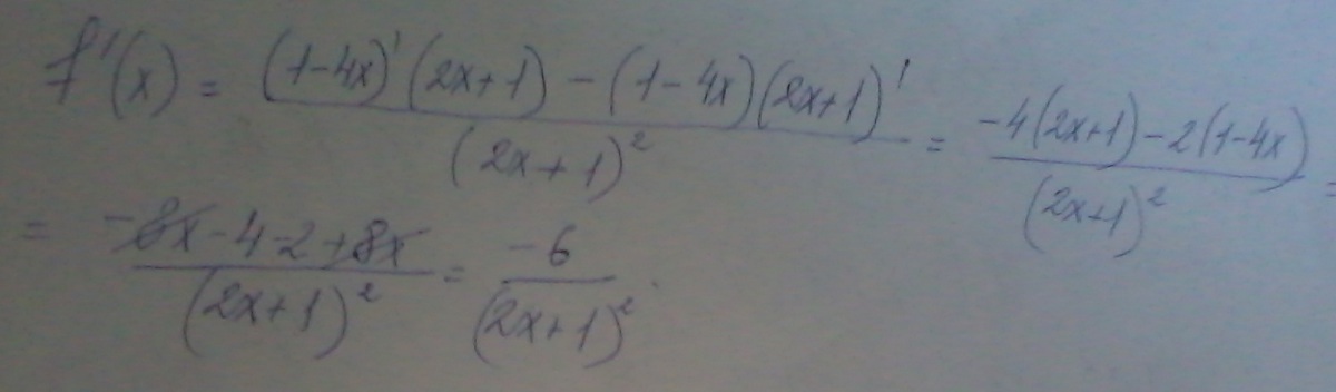
найдите значение производной функции f(x)=1-4x/2x+1

Ответы

Ответ дал: Алина22085
0
Производная данной функции.
Приложения:
Вас заинтересует