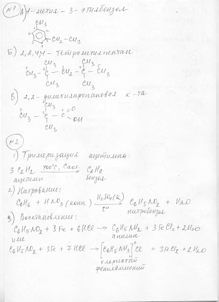
№1.Напишите структурные формулы следующих соединений:
А) 2-метил-3-этилбензол.
Б)2,2,4,4-тетраметилпентан
В)2,2-диметилпропановая кислота
№2. Напишите уравнения реакций ,при помощи которых можно осуществить следующие превращения:
C2H2->C6H6->C6H5NO2->C6H5NH2
№3. Решите задачу.
Какой объём водорода выделится при взаимодействии этиленгликоля массой 4г с металлическим натрием массой2,3г?
Ответы
Ответ дал:
0
Решение заданий во вложении:
Приложения:


Ответ дал:
0
Спасибо большое )))
Ответ дал:
0
да незачто)
Вас заинтересует
2 года назад
2 года назад
7 лет назад
10 лет назад
10 лет назад
10 лет назад