Ответы
Ответ дал:
0
преобразуя все показатели в степень получим:
15 log (7^-1 ,7^1/5 *7^-2* 5 ^log (5^ 1/2 ,7^2/3))
Тогда по свойству логарифма это выражение равносильно:
15 *log(7^-1 ,7^-9/5 *5^log (5,7) *5^4/3)=-15 log(7 ,7^-4/5 *5^4/3)=
-15 *(-4/5) -15*4/3 *log(7,5)=12-20*log(7 ,5)=4(3-5log(7,5)) помоему так
15 log (7^-1 ,7^1/5 *7^-2* 5 ^log (5^ 1/2 ,7^2/3))
Тогда по свойству логарифма это выражение равносильно:
15 *log(7^-1 ,7^-9/5 *5^log (5,7) *5^4/3)=-15 log(7 ,7^-4/5 *5^4/3)=
-15 *(-4/5) -15*4/3 *log(7,5)=12-20*log(7 ,5)=4(3-5log(7,5)) помоему так
Ответ дал:
0
Там 7 быть не может по калькулятору получилось иррациональное отрицательное число!
Ответ дал:
0
Попробую связать с автором :)
Ответ дал:
0
А все я нашел ошибку,вам верно решили ;)
Ответ дал:
0
Надо было все по действиям решеать,а я всегда половину действий делаю в уме
Ответ дал:
0
Volkodav правильно решил,
Ответ дал:
0
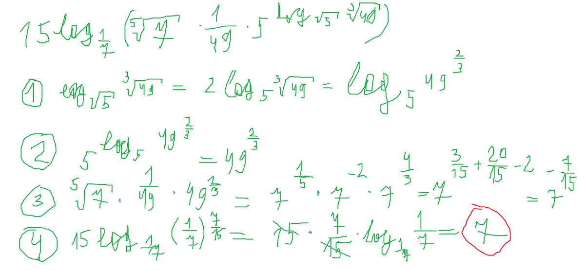
Вот, у меня все получилось, решение во вложении.
Приложения:
Вас заинтересует
3 года назад
3 года назад
8 лет назад
8 лет назад
10 лет назад
10 лет назад
11 лет назад