• Предмет: Алгебра
  • Автор: Erik777
  • Вопрос задан 10 лет назад

тригонометрия. кто ее еще не забыл? =)

Приложения:

Ответы

Ответ дал: Аноним
0
Решение внутри
Удачи
===============
Приложения:
Ответ дал: julyap
0
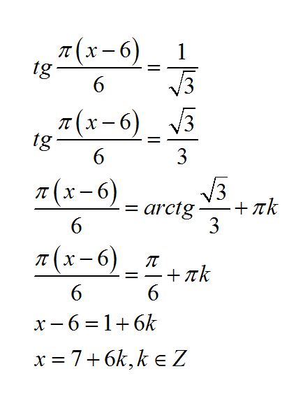
tg frac{ pi (x-6)}{6} = frac{1}{ sqrt{3} }  \ frac{ pi (x-6)}{6}= frac{ pi }{6} + pi n \  pi (x-6)= pi +6 pi n \ x-6=1+6 pi n \ x=7+6 pi n
n∈Z
Приложения:
Вас заинтересует