• Предмет: Алгебра
  • Автор: Аноним
  • Вопрос задан 10 лет назад

Даю 30 пкт!! Помогите, пожалуйста, выполнить задание 1.18 (а,б,в,г)

Приложения:

Ответы

Ответ дал: Опыт
0
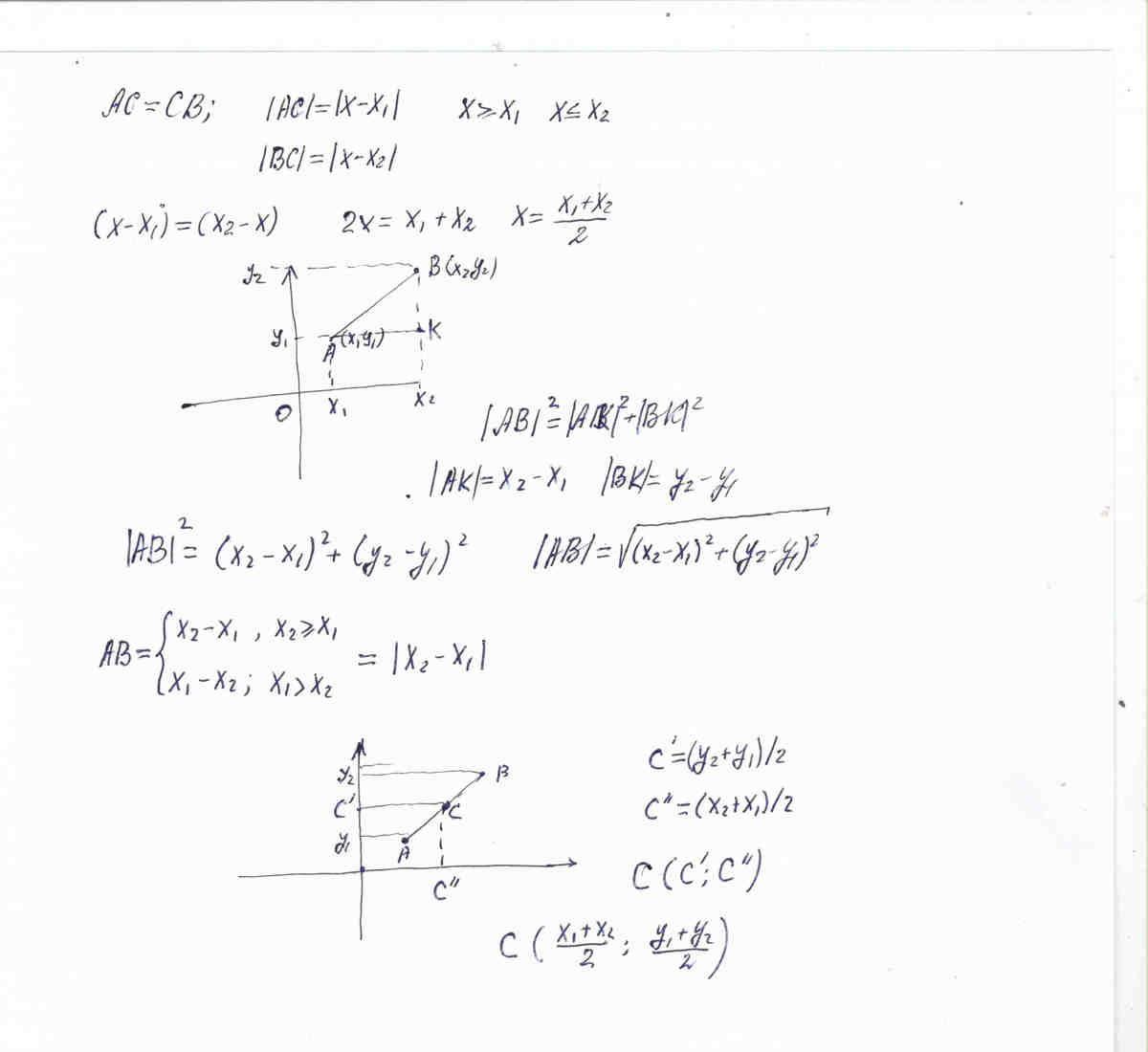
ответ в приложении.....................
Приложения:
Вас заинтересует