Как найти длину дуги кривой y=-x^2+2x от вершины до точки с абсциссой х=2.
Думаю вершина (1,1) но как найти нижний ив верхний тогда предел?
Ответы
Ответ дал:
0
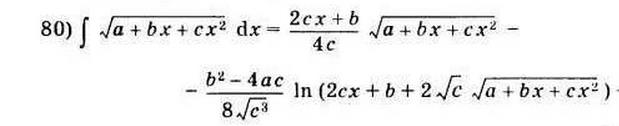
Для вычисления дуги надо применить формулу для ее расчета через определенный интеграл Пределы интегрирования от 1 до 2.
Приложения:


Ответ дал:
0
применена формула из таблиц интегралов. Для ее вывода еще надо страницу расписать
Вас заинтересует
2 года назад
8 лет назад
10 лет назад
10 лет назад
10 лет назад