• Предмет: Математика
  • Автор: u4asTkovii
  • Вопрос задан 10 лет назад

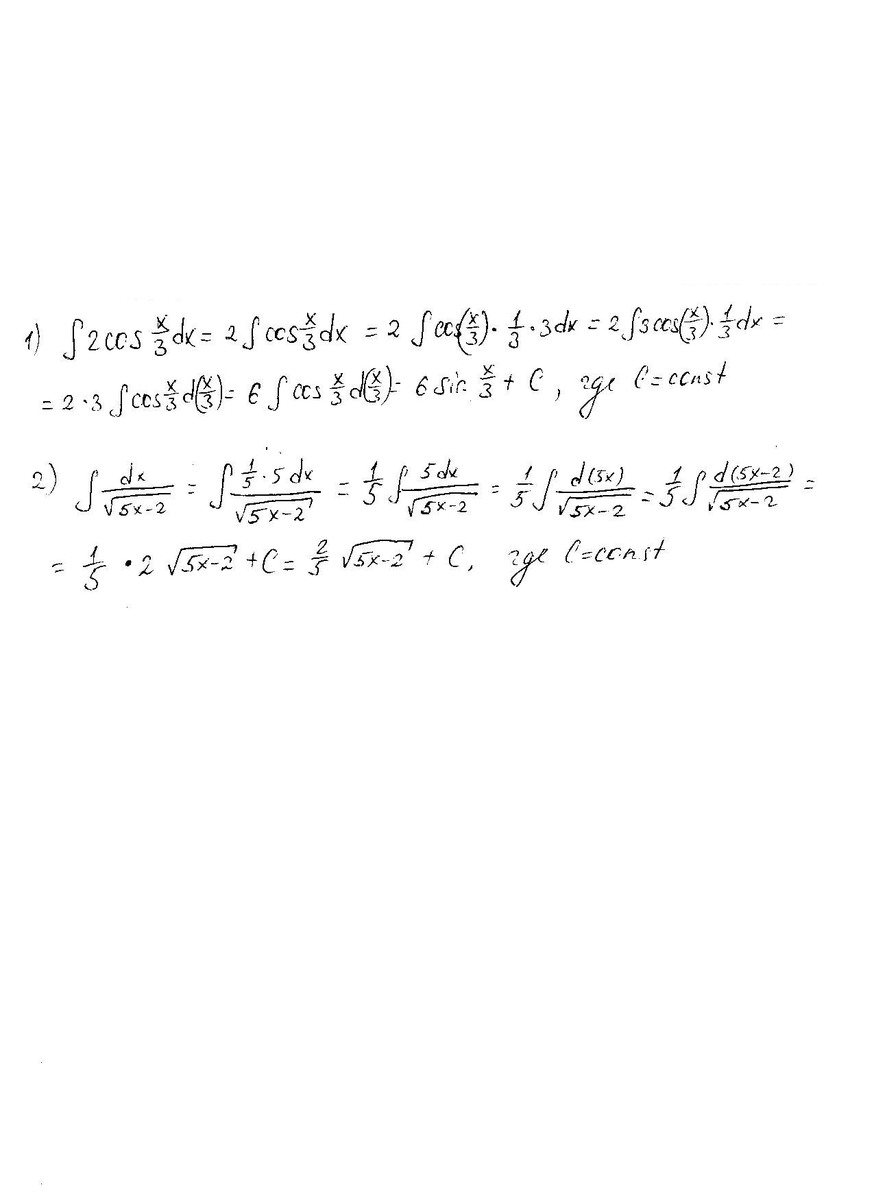
1. S2cos x/3 dx
    S- это интеграл.
    x- числитель.
    3- знаменатель.
2. S dx/ √5x-2
     S- это интеграл.
      dx- числитель.
      √5x-2- знаменатель.

Приложения:

Ответы

Ответ дал: bearcab
0
Смотри во вложении. Должно быть понятно
Приложения:
Ответ дал: u4asTkovii
0
Спасибо большое
Вас заинтересует