• Предмет: Математика
  • Автор: selevanovmakse
  • Вопрос задан 10 лет назад

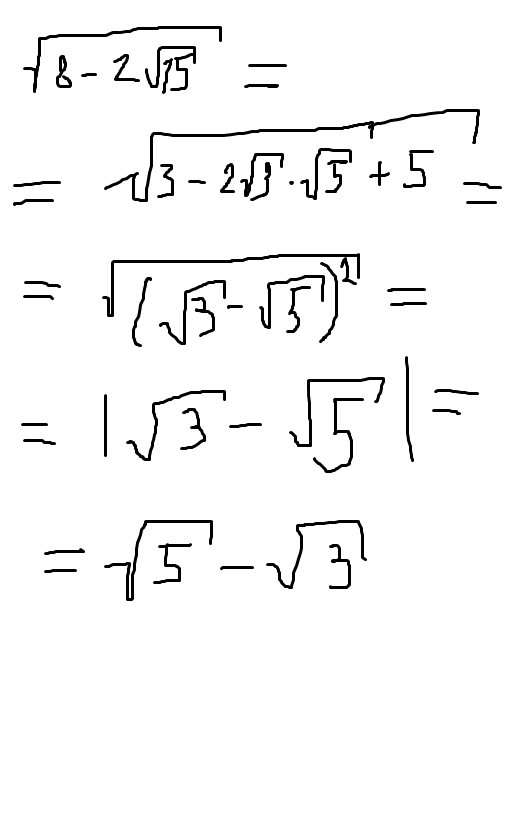
Объясните как это решать пожалуйста .
√(8-2√15)

Ответы

Ответ дал: volkodav575
0
Решениеееееееееееееееееееееееееееееееее!
Приложения:
Ответ дал: selevanovmakse
0
Спасибо огромное !
Вас заинтересует