• Предмет: Алгебра
  • Автор: Аноним
  • Вопрос задан 10 лет назад

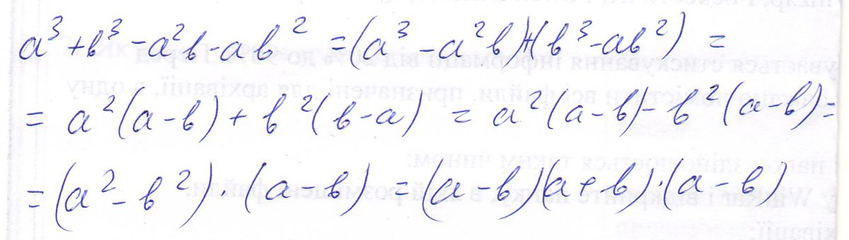
Разложите на множители многочлен а³+в³-а²в-ав²

Ответы

Ответ дал: Аноним
0
а³+в³-а²в-ав²=(а³-а²в)+(в³-ав²)=а²(а-в)+в²(в-а)=а²(а-в)-в²(а-в)=(а-в)(а²-в²)=
(а-в)(а-в)(а+в)
Ответ дал: Сергей0568
0
Посмотри, может поможет.
Приложения:
Вас заинтересует