Ответы
Ответ дал:
0
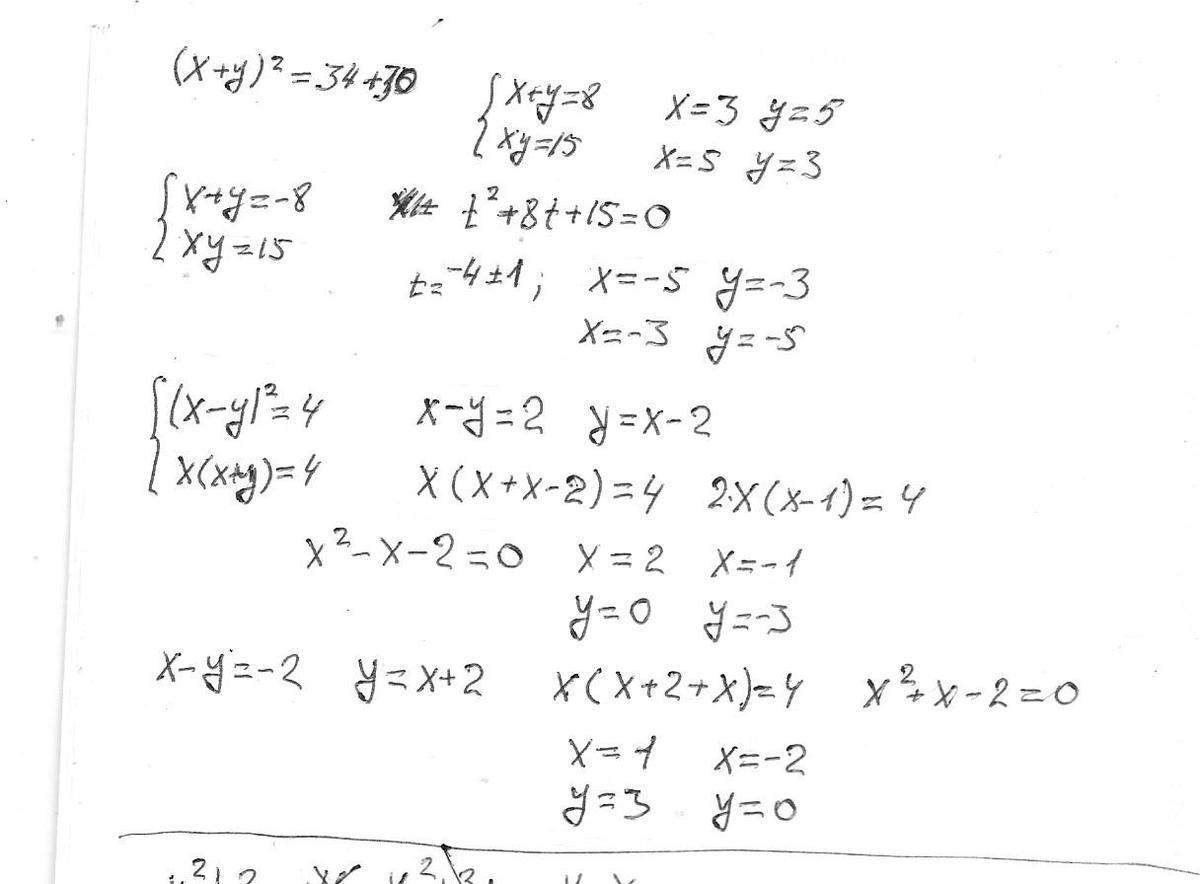
1) х = 15/у
(15/у)² + у² = 34 --- замена у² = а
225/а + а = 34
225 + а² - 34а = 0
по т.Виета корни 9 и 25
у² = 9 ⇒ у = +- 3 и тогда х = +-5
у² = 25 ⇒ у = +-5 и тогда х = +-3
Ответ: (5; 3), (-5; -3), (3; 5), (-3; -5)
(15/у)² + у² = 34 --- замена у² = а
225/а + а = 34
225 + а² - 34а = 0
по т.Виета корни 9 и 25
у² = 9 ⇒ у = +- 3 и тогда х = +-5
у² = 25 ⇒ у = +-5 и тогда х = +-3
Ответ: (5; 3), (-5; -3), (3; 5), (-3; -5)
Ответ дал:
0
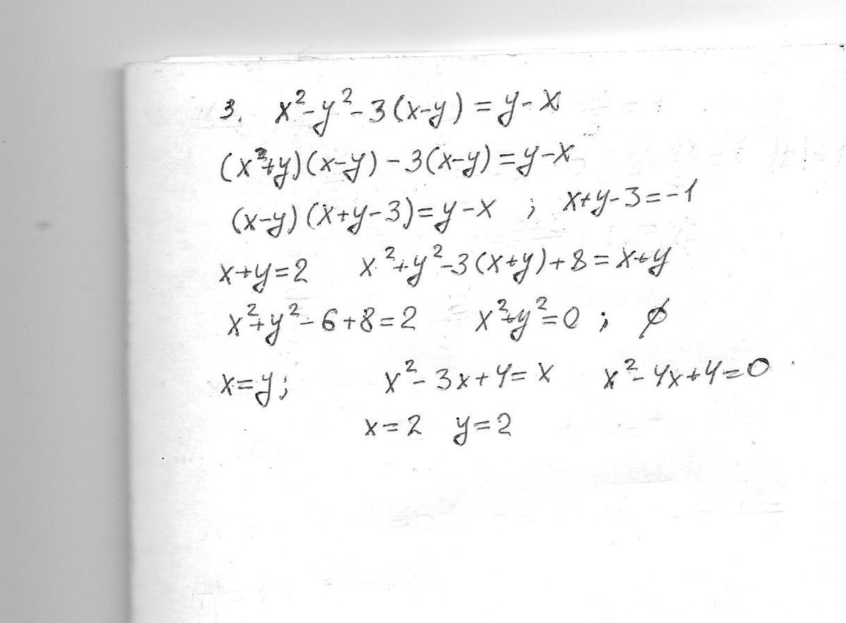
решение в файле..........................
Приложения:


Вас заинтересует
2 года назад
2 года назад
7 лет назад
7 лет назад
10 лет назад
10 лет назад
10 лет назад