• Предмет: Математика
  • Автор: ruslanisnetru1
  • Вопрос задан 10 лет назад

Помогите решить плиз срочно !!!!!!!!!!!!

Приложения:

Ответы

Ответ дал: NNNLLL54
0
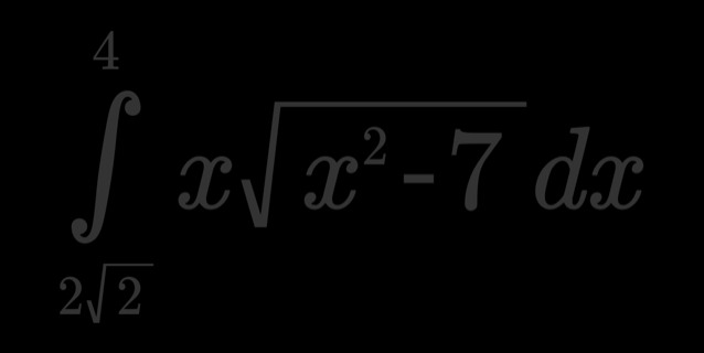
int_{2sqrt2}^4 xsqrt{x^2-7}dx=[t=x^2-7,dt=2xdx,t_1=4cdot 2-7=1,\\t_2=4^2-7=9]=int _1^9sqrt{t}frac{dt}{2}=frac{1}{2}cdot frac {t^{frac{3}{2}}}{frac{3}{2}}|_1^9=frac{1}{3}(sqrt{9^3}-1)=frac{1}{3}cdot (3^3-1)=\\=9-frac{1}{3}=8frac{2}{3}\\int 5sinfrac{x}{2}dx=-5cdot 2cdot cosfrac{x}{2}+C
Вас заинтересует