• Предмет: Алгебра
  • Автор: Аноним
  • Вопрос задан 10 лет назад

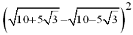
Помогите решить этот пример.
Никак в голову не лезит

Приложения:

Ответы

Ответ дал: Аноним
0
( sqrt{10+5 sqrt{3} } - sqrt{10-5 sqrt{3}})^2=( sqrt{(sqrt{7.5}+ sqrt{2.5})^2} - sqrt{(sqrt{7.5}- sqrt{2.5})^2} )^2= \ =(sqrt{7.5}+ sqrt{2.5}-sqrt{7.5}+ sqrt{2.5})^2=(2sqrt{2.5})^2=10
Вас заинтересует