• Предмет: Алгебра
  • Автор: niknik11
  • Вопрос задан 10 лет назад

помогите с 2 заданиями,очень надо решить)заранее спасибо)

Приложения:

Ответы

Ответ дал: olushman
0
посмотрите решение в прикрепленном файле
Приложения:
Ответ дал: eugeke
0
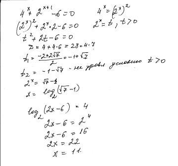
4^x+2^{x+1}-6=0

(2^x)^2+2^x*2^1-6=0

2^x=y

y^2+2y-6=0

D=4+24=28;  sqrt{D}=2 sqrt{7}

 y_2= frac{-2-2 sqrt{7} }{2}= frac{2(-1-sqrt{7}) }{2}=- sqrt{7}-1
Не удовлетворяет ОДЗ

2^x= sqrt{7}-1
x=log_2  (sqrt{7}-1)

***********************************************
log_2(2x-6)=4

2x-6=16

2x=22

x=11


Приложения:
Вас заинтересует