• Предмет: Алгебра
  • Автор: svetik2206
  • Вопрос задан 10 лет назад

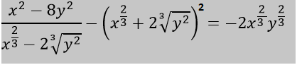
доказать тождество.ребят,помогите,пожалуйста.

Приложения:

Ответа на этот вопрос пока нет. Попробуйте найти его через форму поиска.

Вас заинтересует