• Предмет: Геометрия
  • Автор: vpolinnyk
  • Вопрос задан 10 лет назад

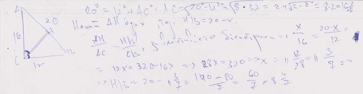
один із катетів прямокутного трикутника дорівнює 12,а гіпотенуза дорівнює 20.Знайти менший з відрізків на які поділяє гупотенузу бісектриса прямого кута.

Ответы

Ответ дал: philadelphiaex
0
Посмотри во вложении.
Приложения:
Вас заинтересует