• Предмет: Алгебра
  • Автор: Аноним
  • Вопрос задан 10 лет назад

помогите пожалуйста!!!!!!заранее спасибо)))

Приложения:

Ответы

Ответ дал: NNNLLL54
0
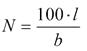
По третьей формуле, если число b точное число раз укладывается в числе l.
Ответ дал: Аноним
0
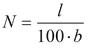
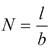
Вторая формула напримкр мы будем знать что 60 см.(l) b=6 см .... N=l/b Т=10)))
Вас заинтересует