• Предмет: Алгебра
  • Автор: kate6777
  • Вопрос задан 10 лет назад

Помогите, пожалуйста!особенно с первым примером

Приложения:

Ответы

Ответ дал: Матов
0
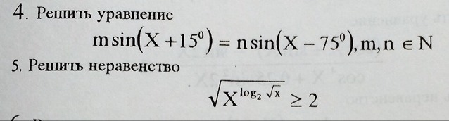
  m*sin(x+15)=n*sin(x-75)\ 
sin(90-(75-x))=cos(75-x)=cos(-(x-75))=cos(x-75)\
m*cos(x-75)=n*sin(x-75)\
m*cos(x-75)-n*sin(x-75)=0\
x-75+165-x=0\\
m=cos(165-x)\
n=sin(165-x)
 так как    m,n in N\
165-x=90\
x=75     
 m=0\
n=1\
x=75     
  
 
 
sqrt{x^{log_{2}sqrt{x}}} geq 2\
sqrt{x^{frac{log_{2}x}{2}}} geq 2\
x>0\
x^{ log_{2}x*0.5} > 0\
xin(-infty;+infty)\\
x^{0.5*log_{2}x} geq 4\
x^{log_{2}x} geq 16\
log_{2}x*log_{2}x geq 4\
log^2_{2}x geq 4\
     xin(0;frac{1}{4}]cup [4; infty)
 

     
 
Вас заинтересует