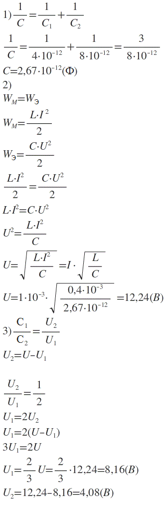
Идеальный колебательный контур состоит из двух последовательно соединенных конденсаторов,емкости которых равны С1=4пФ и С2=8пФ и которые подключены к выводам катушки индуктивностью 0,4 мГн . Определите максимальное напряжение на обкладках конденсаторов ,если максимальное значение силы тока в катушке 1 мА
Ответы
Ответ дал:
0
Решение в приложенном файле
Приложения:

Вас заинтересует
2 года назад
2 года назад
8 лет назад
8 лет назад
10 лет назад
10 лет назад
10 лет назад