Ответы
Ответ дал:
0
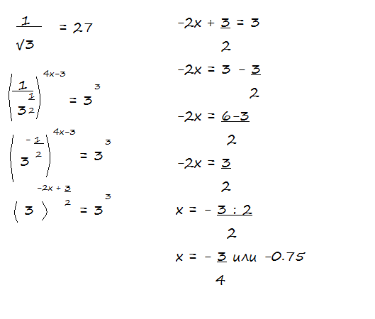
......ответ в картинке.....извини, что поздно
Приложения:

Вас заинтересует
2 года назад
2 года назад
7 лет назад
10 лет назад
10 лет назад
10 лет назад