Ответы
Ответ дал:
0
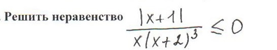
Модуль, стоящий в числителе, всегда положителен и равен нулю при х = -1.
Следовательно, данное неравенство равносильно неравенству х*(х + 2)^3<0.
Его решением является промежуток (-2; 0), границы не входят, так как обращают в нуль знаменатель.
Заметим, что х = -1 входит в этот промежуток и не исключается из него, так как знак неравенства нестрогий.
Ответ: (-2; 0)
Следовательно, данное неравенство равносильно неравенству х*(х + 2)^3<0.
Его решением является промежуток (-2; 0), границы не входят, так как обращают в нуль знаменатель.
Заметим, что х = -1 входит в этот промежуток и не исключается из него, так как знак неравенства нестрогий.
Ответ: (-2; 0)
Вас заинтересует
3 года назад
3 года назад
11 лет назад
11 лет назад
11 лет назад