• Предмет: Алгебра
  • Автор: basya007
  • Вопрос задан 10 лет назад

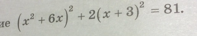
Помогите решить пожалуйся,срочно!!!! Решение нужно тоже!

Приложения:

Ответы

Ответ дал: volkodav575
0
Решение во вложении, надеюсь разборчиво.
Приложения:
Вас заинтересует