Ответы
Ответ дал:
0
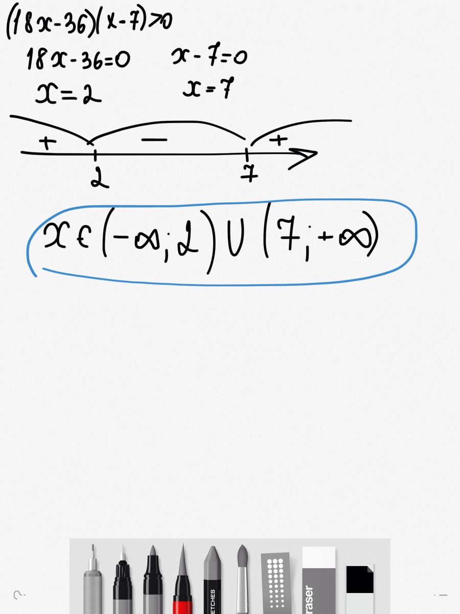
Приравняем оба множителя к нулю.
х1=2
х2=7
теперь методом интервалов получаем:
(-бесконечность; 2) и (7; + бесконечность)
х1=2
х2=7
теперь методом интервалов получаем:
(-бесконечность; 2) и (7; + бесконечность)
Ответ дал:
0
Да,Aliana5555rus действительно решил нерациональным способом да и к тому же неправильно
Ответ дал:
0
вареант ответа этот есть
Ответ дал:
0
Ответ к заданию на рисунке
Приложения:

Вас заинтересует
2 года назад
2 года назад
7 лет назад
7 лет назад
10 лет назад
10 лет назад
10 лет назад