• Предмет: Математика
  • Автор: Аноним
  • Вопрос задан 10 лет назад

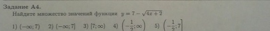
помогите с вопросом... очень нужна помощь умов... подробности на картинке!

Приложения:

Ответы

Ответ дал: Германика1000
0
Ответ: 2. 7 входит в область определения, так как если под корнем 0, то значение функции 7
Вас заинтересует