Ответы
Ответ дал:
0
После преобразований получаем:
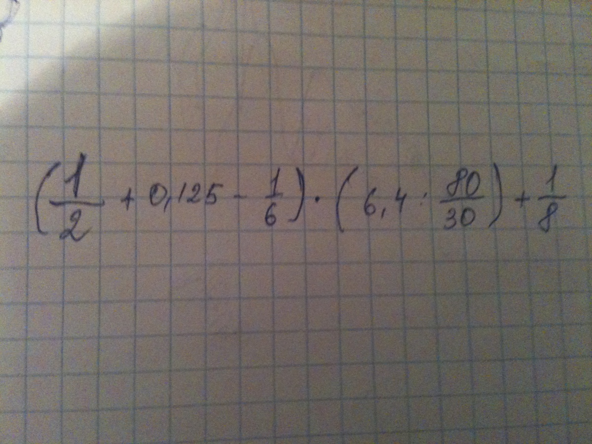
(0,625-1/6)x(6,4x8/3)+1/8,
Ответ дал:
0
незнаю как
Ответ дал:
0
1)1/2+1/8-1/6=11/24
Ответ дал:
0
После преобразований получаем:
(0,625-1/6)x(6,4x8/3)+1/8,
(11/24)x(256/15)+1/8,
352/45+1/8,
7+ 334/360 или 7, 947(2)
Ответ: 7,947(2).
(0,625-1/6)x(6,4x8/3)+1/8,
(11/24)x(256/15)+1/8,
352/45+1/8,
7+ 334/360 или 7, 947(2)
Ответ: 7,947(2).
Ответ дал:
0
2)32/5*3/8=12/5; 3)11/24*12/5=11/10; 4)11/10+1/8=49/40=1,225
Ответ дал:
0
Да, согласен, получается 1,225, Вы правы.
Ответ дал:
0
1. (1/2 + 1/8 - 1/6) = (12+3-4)/24 = 11/24
общий знаменатель 24
2. (64/10):(80/30) = (64*30)/(80*10) = 1920/800 = 24/10
3. (11/24)*(24/10) = 11/10
24 сокращаются
4. 11/10 + 1/8 = (11*8 + 1*10)/80 = (88+10)/80 = 98/80 = 49/40 = 1(9/40) = 1,225
общий знаменатель 80
общий знаменатель 24
2. (64/10):(80/30) = (64*30)/(80*10) = 1920/800 = 24/10
3. (11/24)*(24/10) = 11/10
24 сокращаются
4. 11/10 + 1/8 = (11*8 + 1*10)/80 = (88+10)/80 = 98/80 = 49/40 = 1(9/40) = 1,225
общий знаменатель 80
Ответ дал:
0
....Первая скобка делится на вторую, а не умножается.
Ответ дал:
0
Перепроверил ещё раз, ошибка у меня, не у Вас.
Ответ дал:
0
Спасибо, что здорово размяли мне мозги ))
Ответ дал:
0
огромное
Вас заинтересует
8 лет назад
8 лет назад
11 лет назад
11 лет назад
11 лет назад