Ответы
Ответ дал:
0
(0,3/0.8)-(13/20÷0,2)=-2,875
1) 0,3/0,8=0,3:0,8=3/8=0,375
2) 13/20 : 0,2 = 0,65:0,2=3,25
3) 0,375 - 3,25 = -2,875
1) 0,3/0,8=0,3:0,8=3/8=0,375
2) 13/20 : 0,2 = 0,65:0,2=3,25
3) 0,375 - 3,25 = -2,875
Ответ дал:
0
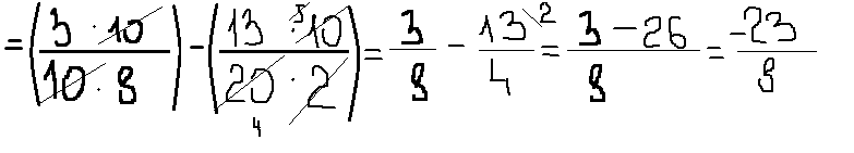
.....у меня получилось так.....
Приложения:

Вас заинтересует
2 года назад
2 года назад
7 лет назад
10 лет назад
10 лет назад
10 лет назад