1)Найдите
радиус окружности: х^2+y^2-2x+4y=20
2)Найдите
ось параболы: 3x^2+3x=y-1
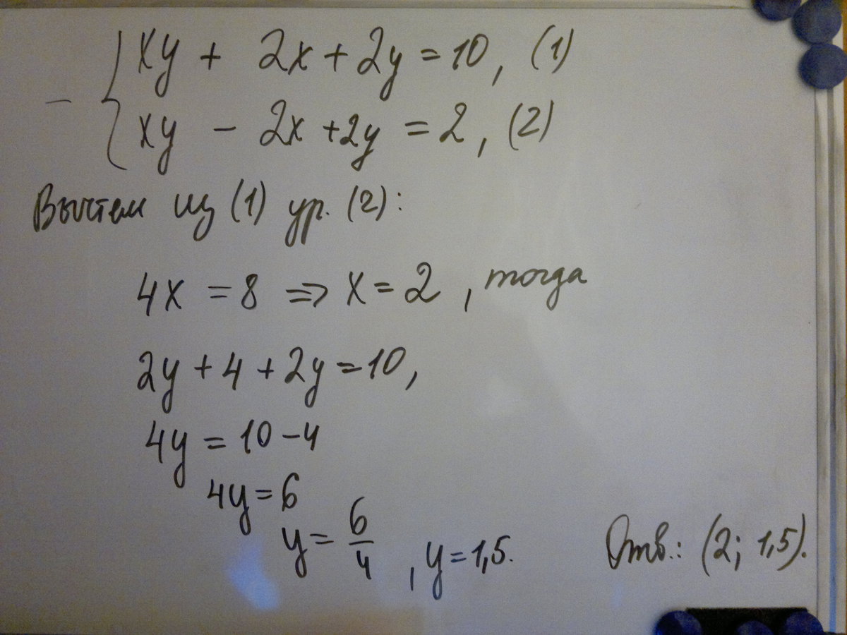
3)Решите
систему уравнений: xy+2x+2y=10
xy-2x+2y=2
4)Решите
систему уравнений: x^2-2y^2=7
x-y=2
5)Периметр
прямоугольника равен 28см, а диагональ 10 см. найдите площадь прямоугольника.
ПОМОГИТЕ ПОЖАЛУЙСТА, ОЧЕНЬ НАДО
Ответы
Ответ дал:
0
решение на фото, которое прилагается.
Приложения:


Вас заинтересует
2 года назад
7 лет назад
10 лет назад
10 лет назад
10 лет назад
10 лет назад