Помогите решить
1. 2x+7 X-3
________ - _______=4x
3. 2
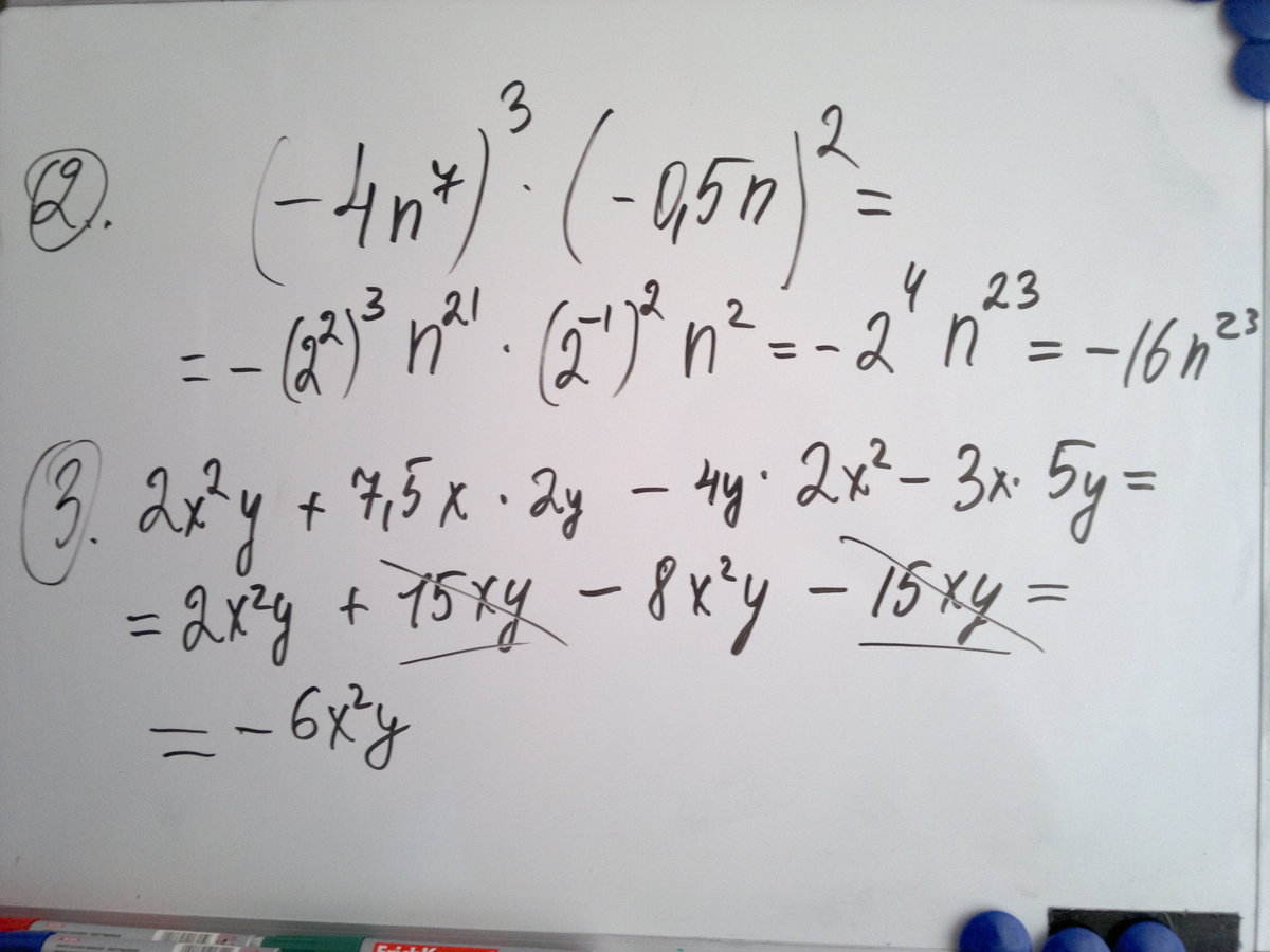
2. Представьте выражение (-4n^7)^3*(-0,5n)^2 в виде одночлена
3. Запишите многочлен 2x^2y+7,5x*2y-4y*2x^2-3x*5y в стандартной виде.
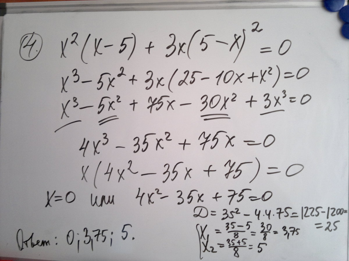
4. Решите уравнение x^2(x-5)+3x(5-x)^2=0
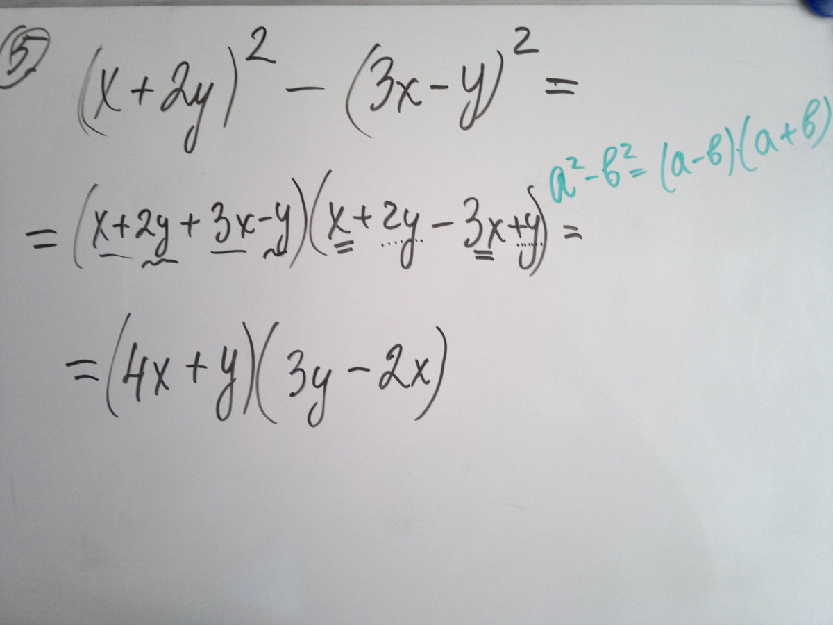
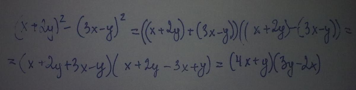
5. Разложите выражение (x+2y)^2-(3x-y)^2 на множители
Ответы
Ответ дал:
0
решение на фото, которое прикреплено...(а первое -условие непонятное)
Приложения:



Ответ дал:
0
Решение смотри во вложении:
Приложения:


Вас заинтересует
2 года назад
7 лет назад
7 лет назад
10 лет назад