Ответы
Ответ дал:
0
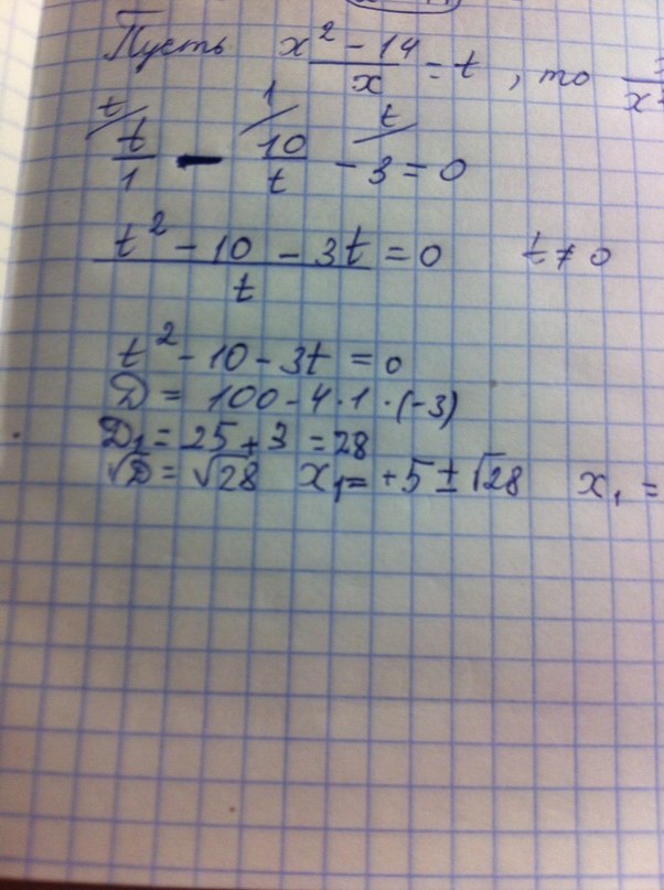
(x^2-14)/x-10x/(x^2-14)=3
(x^2-14)/x=t
t-10/t=3
квадратное уравнение
t^2-3t-10=0
d=49
t1=(3-7)/2=-2
t2=(3+7)/2=5
****************
(x^2-14)/x=-2
x^2+2x-14=0
d=4+56=60
x1=-1-корень(15)
x2=-1+корень(15)
****************
(x^2-14)/x=5
x^2-5x-14=0
d=25+56=81
x3=(5-9)/2=-2
x4=(5+9)/2=7
(x^2-14)/x=t
t-10/t=3
квадратное уравнение
t^2-3t-10=0
d=49
t1=(3-7)/2=-2
t2=(3+7)/2=5
****************
(x^2-14)/x=-2
x^2+2x-14=0
d=4+56=60
x1=-1-корень(15)
x2=-1+корень(15)
****************
(x^2-14)/x=5
x^2-5x-14=0
d=25+56=81
x3=(5-9)/2=-2
x4=(5+9)/2=7
Ответ дал:
0
Решение Вашего задания во вложении
Приложения:
Вас заинтересует
3 года назад
3 года назад
8 лет назад
11 лет назад
11 лет назад
11 лет назад