Ответы
Ответ дал:
0
решение во вложения… :-)
Приложения:

Ответ дал:
0
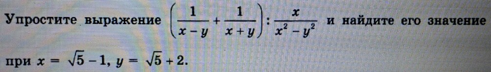
Даже, если мы изначально, не упрощая, подставим для
Приложения:

Вас заинтересует
2 года назад
7 лет назад
7 лет назад
10 лет назад
10 лет назад
10 лет назад