• Предмет: Математика
  • Автор: Vitaly322
  • Вопрос задан 10 лет назад

Помогите решить пожалуйста! Назначю "Лучшим ответом".
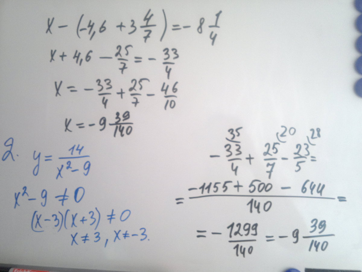
1.Решите уравнение: х-(-4.6+3целых4/7)=-8целых1/4
2.Найдите область определения функции:
у=14(числитель)
х в квадрате - 9(знаменатель)

Ответы

Ответ дал: RepetitorUFA
0
в след.раз фоткай условия, иногда можно не так понять 
Приложения:
Вас заинтересует