• Предмет: Алгебра
  • Автор: Nikitka0
  • Вопрос задан 10 лет назад

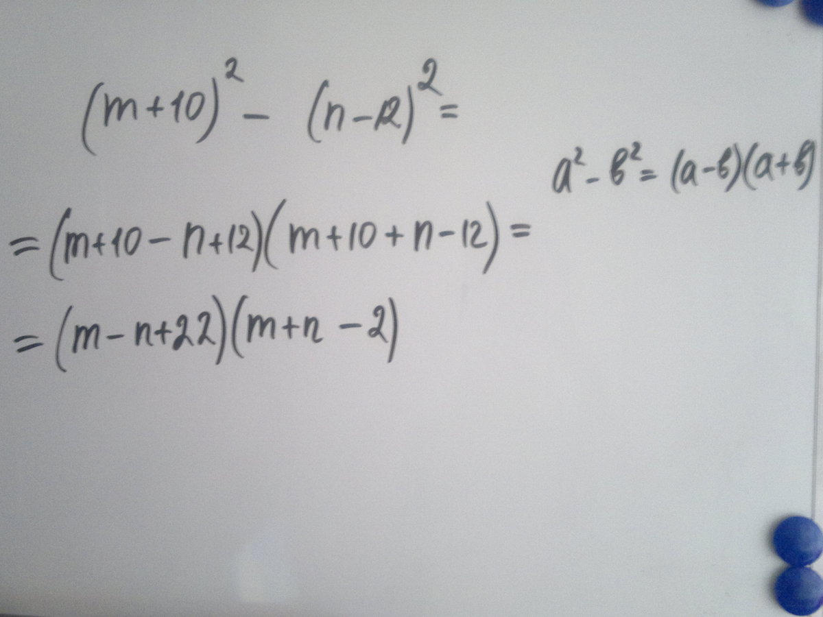
(m+10)^2-(n-12)^2
плиззззззззззззззззззззззззззззззззззззззз

Ответы

Ответ дал: RepetitorUFA
0
Решение на фото, которое прикреплено
Приложения:
Ответ дал: tanya2512
0
(m+10)²-(n-12)²=(m+10-(n-12))*(m+10+n-12)=(m-n+22)(m+n -2)
Приложения:
Вас заинтересует