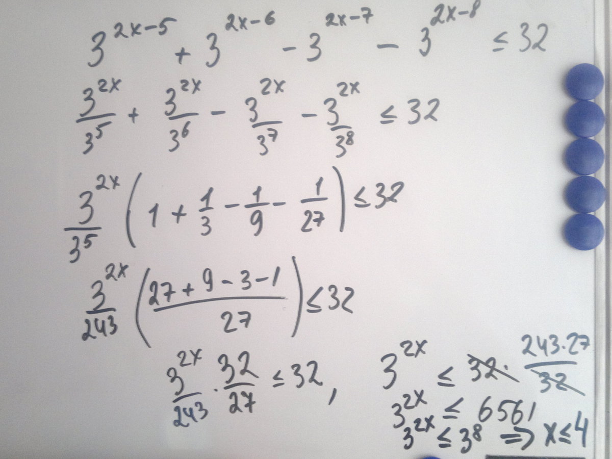
Решите неравенство 3в степени2x−5 +3в степени 2x−6 −3в степени2x−7 −3в степени2x−8меньше или равно32.
Ответы
Ответ дал:
0
Решение на фото, которое прикреплено
Приложения:

Вас заинтересует
2 года назад
7 лет назад
10 лет назад
10 лет назад
10 лет назад