• Предмет: Математика
  • Автор: xatabov
  • Вопрос задан 10 лет назад

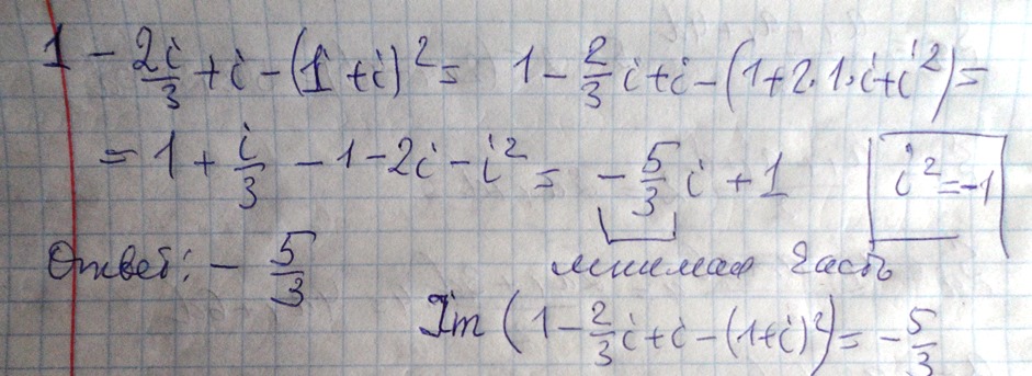
Найти мнимую часть числа 1-2i/3+i-(1+i)^2.
Помогите решить.

Ответы

Ответ дал: infor5
0
Решение в приложенном файле ................
Приложения:
Ответ дал: xatabov
0
там 3+i это весь знаменатель
Ответ дал: xatabov
0
1-2i
Вас заинтересует