• Предмет: Алгебра
  • Автор: Аноним
  • Вопрос задан 10 лет назад

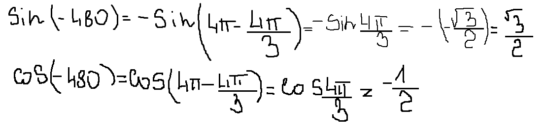
срочно друзья помогите!!!!!! Вычислите sin( –480)
Вычислите cos(–480)

Ответы

Ответ дал: alisaMur2015
0
.....я бы так решила.....
Приложения:
Вас заинтересует