Ответы
Ответ дал:
0
`•. ¸ (¯ `•. • '¯) ¸. •
`• ¸ • ☆ ° '° ☆ ¸ ¸ ¸ ¸ .... ★ •' ¯` •. -.> ❥
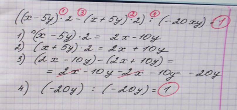
┊ ┊ ┊ * Решение во вложении.
┊ ┊ ☆
┊ ★
★
`• ¸ • ☆ ° '° ☆ ¸ ¸ ¸ ¸ .... ★ •' ¯` •. -.> ❥
┊ ┊ ┊ * Решение во вложении.
┊ ┊ ☆
┊ ★
★
Приложения:

Ответ дал:
0
Лёка, спасибо. Разобралась, подправила.
Ответ дал:
0
)) Вы знак потеряли)))
Вас заинтересует
2 года назад
2 года назад
7 лет назад
7 лет назад
10 лет назад
10 лет назад
10 лет назад