• Предмет: Геометрия
  • Автор: Аноним
  • Вопрос задан 10 лет назад

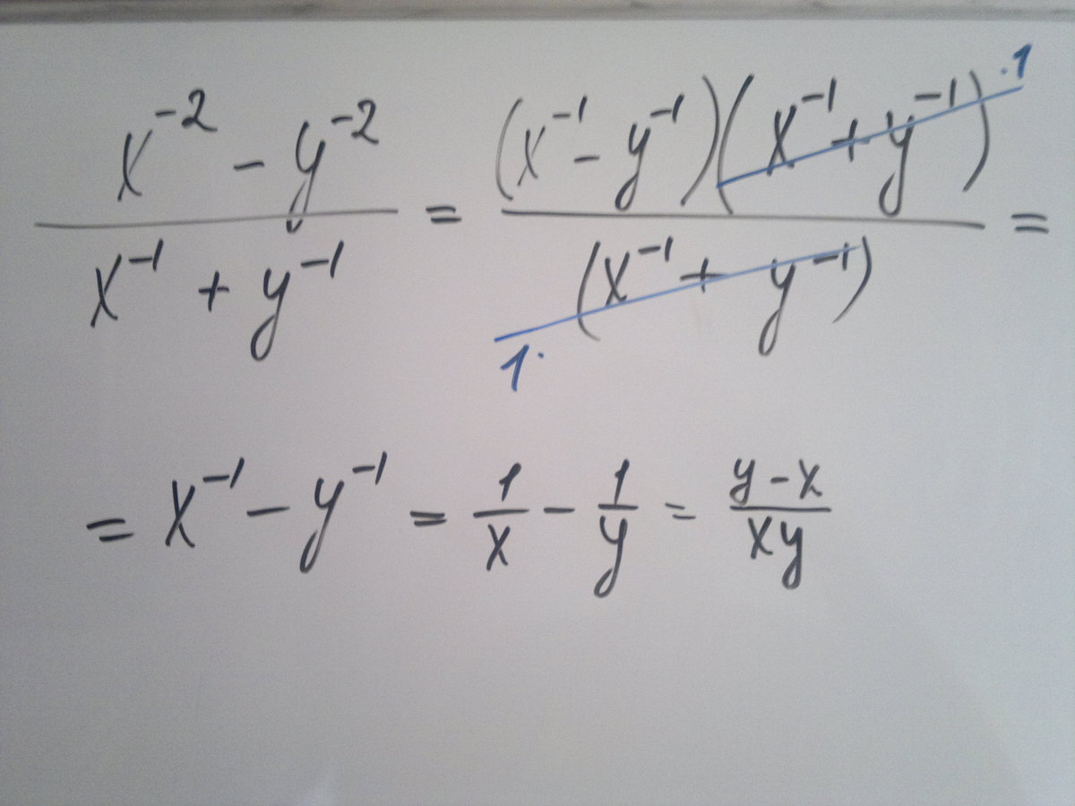
упростите виражение (x^-2-y^-2):(x^-1+y^-1)

Ответы

Ответ дал: RepetitorUFA
0
решение на фото, которое прилагается
Приложения:
Ответ дал: julyap
0
 frac{( x^{-2} -y^{-2} )}{x ^{-1} +y ^{-1} } = frac{(x ^{-1}+y^{-1})(x ^{-1} +y ^{-1})}{x ^{-1} +y ^{-1}} =x ^{-1}-y ^{-1} = frac{1}{x} - frac{1}{y} = frac{x-y}{xy}
Приложения:
Вас заинтересует