решите уравнения,
хотя бы одно
пожалуйста, пишите с решением
Приложения:
Ответы
Ответ дал:
0
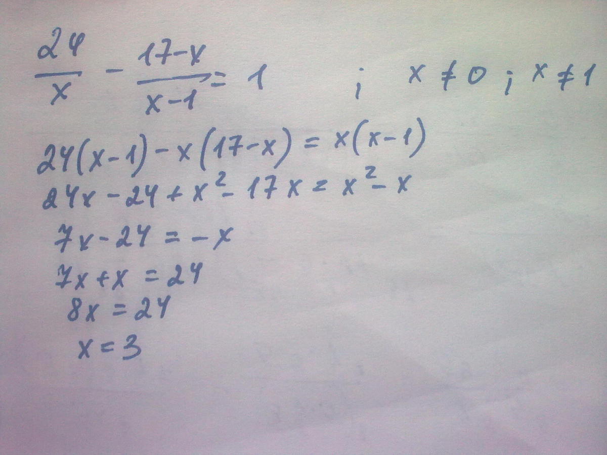
решение во вложении:
Приложения:
Ответ дал:
0
24/х-17-х/х-1=1 *(х(х-1)) не равно 0
х(х-1) не равно 0
х не равен 0
х-1 не равен 0
х не равен 1
24(х-1)-х(17-х)=х(х-1)
24х-24-17х+х²=х²-х
24х-24-17х+х²-х²+х=0
8х=24=0
8х=24
х=24/8
х=3
Ответ: х=3
х(х-1) не равно 0
х не равен 0
х-1 не равен 0
х не равен 1
24(х-1)-х(17-х)=х(х-1)
24х-24-17х+х²=х²-х
24х-24-17х+х²-х²+х=0
8х=24=0
8х=24
х=24/8
х=3
Ответ: х=3
Приложения:
Вас заинтересует
3 года назад
3 года назад
8 лет назад
8 лет назад
11 лет назад
11 лет назад