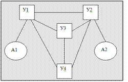
Укажите все возможные варианты прохождения сообщения от абонента A1 до абонента A2 для приведённой ниже архитектуры глобальной сети:
Приложения:

Ответы
Ответ дал:
0
A1-Y1-Y2-A2
A1-Y1-Y3-Y2-A2
A1-Y1-Y3-Y4-Y2-A2
A1-Y1-Y4-Y2-A2
A1-Y1-Y4-Y3-Y2-A2
Ответ дал:
0
А1
у1-у2
у1-у3-у2
у1-у4-у2
у1-у3-у4-у2
у1-у4-у3-у2
А2
Вас заинтересует
2 года назад
2 года назад
8 лет назад
8 лет назад
10 лет назад
10 лет назад