• Предмет: Алгебра
  • Автор: Аноним
  • Вопрос задан 10 лет назад

Найдите значения выражения:
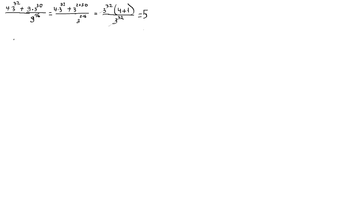
4*3^32+9*3^30/9^16

Ответы

Ответ дал: pikulaura
0
.......................................................
Приложения:
Ответ дал: ognibisera
0
Вынесем 3∧30 за скобки, получим (3^30(4*3^2+9))/(3²)^16=3^30*45/3^32=45/9=5
Приложения:
Вас заинтересует