Ответы
Ответ дал:
0
решение вашего задания.
Приложения:
Ответ дал:
0
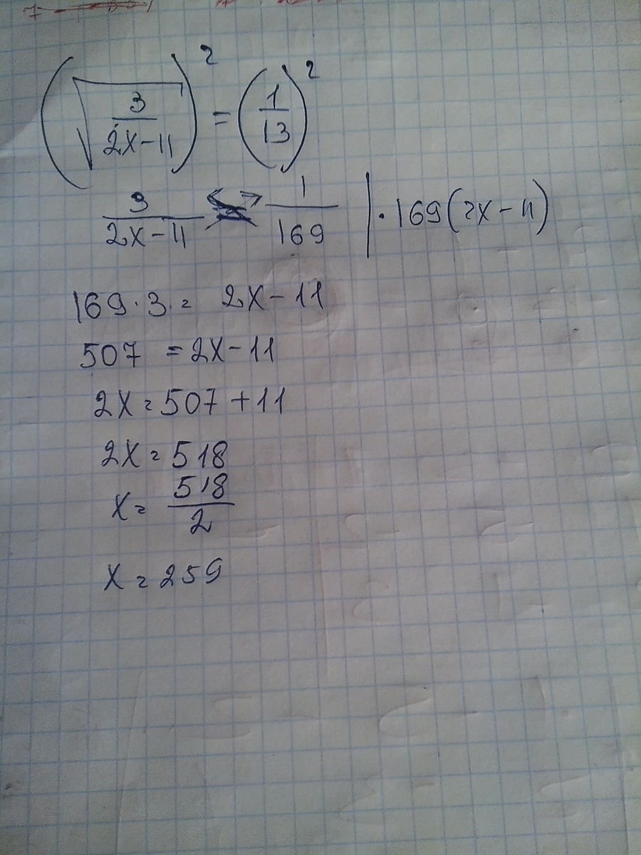
3(2х-11)=1169
2х-11=3*169
2х-11=507
2х=507+11
2х=518
х=5182
х=259
Проверка
√3(2*259-11)=113
√3507=113
√1169=113
113=113
Ответ ------ (х=259)
2х-11=3*169
2х-11=507
2х=507+11
2х=518
х=5182
х=259
Проверка
√3(2*259-11)=113
√3507=113
√1169=113
113=113
Ответ ------ (х=259)
Приложения:
Вас заинтересует
3 года назад
8 лет назад
8 лет назад
10 лет назад
11 лет назад