• Предмет: Алгебра
  • Автор: Аноним
  • Вопрос задан 10 лет назад

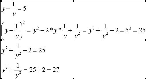
найти значение выражения у^2+1/у^2,если у- 1/у=5 пожалуйста на листочке

Ответы

Ответ дал: IUV
0
смотри решение во вложении
Приложения:
Вас заинтересует