Ответы
Ответ дал:
0
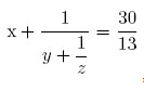
Выделим с правой стороны целую часть получим:
x+1/(y+1/z)=2+4/13
тк все числа натуральные,то очевидно что раз y>=1 x>=1 z>=1,то y+1/z>1
Откуда 1/(y+1/z)<1
Откуда очевидно что раз x-целое число,то
1/(y+1/z) ее дробная часть,а x-целая
Откуда x=2
1/(y+1/z)=4/13
y+1/z=13/4
И снова выделим целую часть:
y+1/z=3+1/4
Откуда тк 1/z<1 ,то из тех же рассуждений получим:
y=3
1/z=1/4
z=4
Ответ:x=2;y=3;z=4
x+1/(y+1/z)=2+4/13
тк все числа натуральные,то очевидно что раз y>=1 x>=1 z>=1,то y+1/z>1
Откуда 1/(y+1/z)<1
Откуда очевидно что раз x-целое число,то
1/(y+1/z) ее дробная часть,а x-целая
Откуда x=2
1/(y+1/z)=4/13
y+1/z=13/4
И снова выделим целую часть:
y+1/z=3+1/4
Откуда тк 1/z<1 ,то из тех же рассуждений получим:
y=3
1/z=1/4
z=4
Ответ:x=2;y=3;z=4
Вас заинтересует
3 года назад
3 года назад
8 лет назад
11 лет назад
11 лет назад
11 лет назад