Ответы
Ответ дал:
0
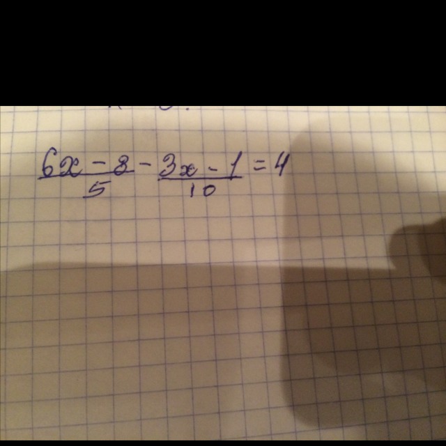
6х-85 - 3х-110=4
2*(6х-8)-1*(3х-1)10=4
12х-16-3х+110=4
9х-1510=4
9х-15=4*10
9х-15=40
9х=40+15
9х=55
х=559
х=6 целых 19
2*(6х-8)-1*(3х-1)10=4
12х-16-3х+110=4
9х-1510=4
9х-15=4*10
9х-15=40
9х=40+15
9х=55
х=559
х=6 целых 19
Ответ дал:
0
2(6х-8)-(3х-1)=40; 9х-15=40; х=55/9=6 1/9)
Вас заинтересует
3 года назад
3 года назад
8 лет назад
8 лет назад
11 лет назад
11 лет назад
11 лет назад