Ответы
Ответ дал:
0
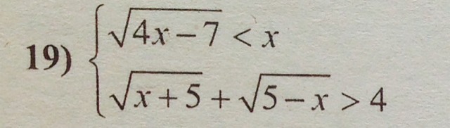
Найдем ОДЗ:




Объединяем решения:
Решаем первое неравенство, возводим обе части в квадрат:


- верно при любом х
Решаем второе неравенство, возводим обе части в квадрат:



- возводим еще раз в квадрат обе части




Накладываем на полученное решение условие ОДЗ, получаем решение неравенства:
Ответ: x∈[7/4;4)
Объединяем решения:
Решаем первое неравенство, возводим обе части в квадрат:
Решаем второе неравенство, возводим обе части в квадрат:
Накладываем на полученное решение условие ОДЗ, получаем решение неравенства:
Ответ: x∈[7/4;4)
Вас заинтересует
3 года назад
8 лет назад
8 лет назад
10 лет назад
10 лет назад
11 лет назад