Ответы
Ответ дал:
0
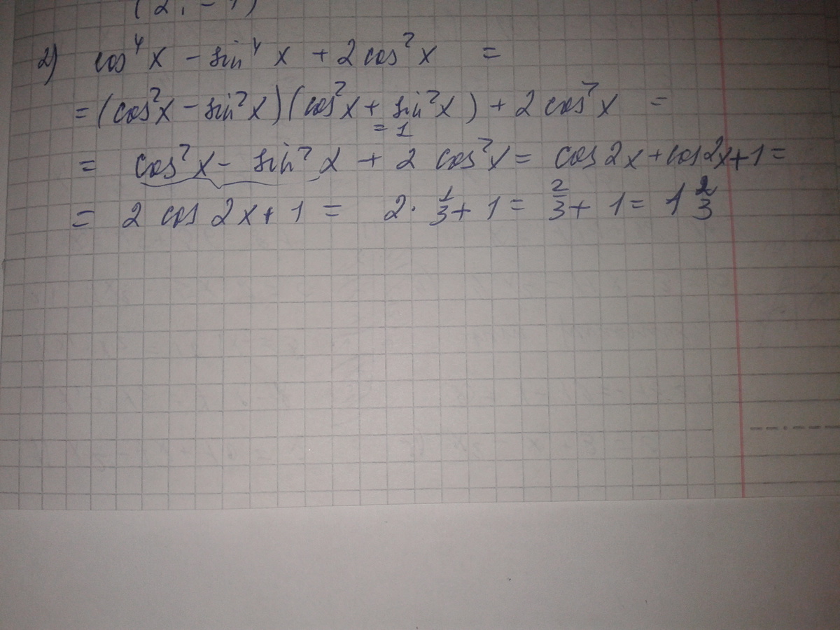
Воспользовались тем, что cos²x+sin²x=1 и сos 2x=cos²x- sin²x и
cos2x=2cos²x-1 ⇒ cos²x=cos2x+1
Вычислим при условии cos 2x=1/3
получим
2·1/3 +1=5/3
Ответ дал:
0
...........................................
Приложения:

Вас заинтересует
2 года назад
2 года назад
7 лет назад
7 лет назад
10 лет назад
10 лет назад
10 лет назад