• Предмет: Математика
  • Автор: alexx1
  • Вопрос задан 10 лет назад

Какой ответ?
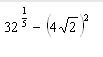
Пример на картинке

Приложения:

Ответа на этот вопрос пока нет. Попробуйте найти его через форму поиска.

Вас заинтересует