• Предмет: Алгебра
  • Автор: 1nastushka3009
  • Вопрос задан 10 лет назад

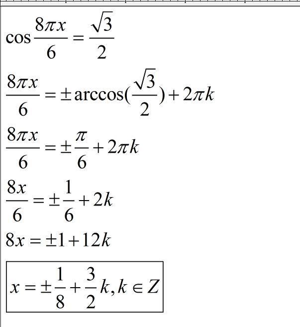
Нужно найти корни  из уравнения: косинус 8 pi  \ 6 икс равно корень из 3 деленное на 2

Ответы

Ответ дал: Аноним
0
cos8πx/6=√3/2
cos4πx/3=√3/2
4πx/3=+-π/6+2πn
x=+-1/8+3n/2
Ответ дал: 1nastushka3009
0
Большое спасибо!
Ответ дал: Корнелиус
0
Решение представлено в закладках
Удачи

Приложения:
Вас заинтересует