Ответы
Ответ дал:
0
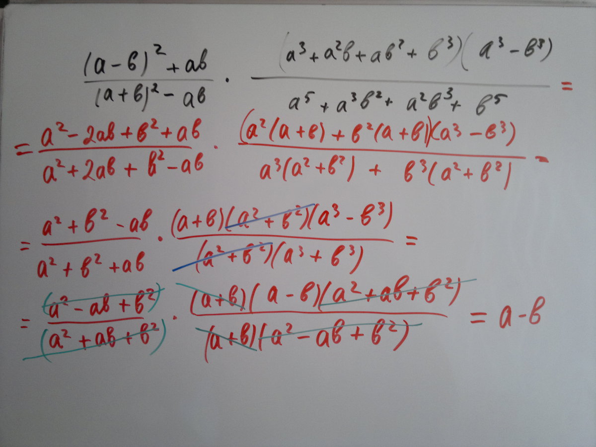
Решение на фото, которое прикреплено
когда сокращаем, считаем, что выражение не равно нулю, поэтому, определено при a≠-b
когда сокращаем, считаем, что выражение не равно нулю, поэтому, определено при a≠-b
Приложения:

Ответ дал:
0
Вас заинтересует
2 года назад
7 лет назад
7 лет назад
10 лет назад
10 лет назад
10 лет назад