• Предмет: Алгебра
  • Автор: MarKella11
  • Вопрос задан 10 лет назад

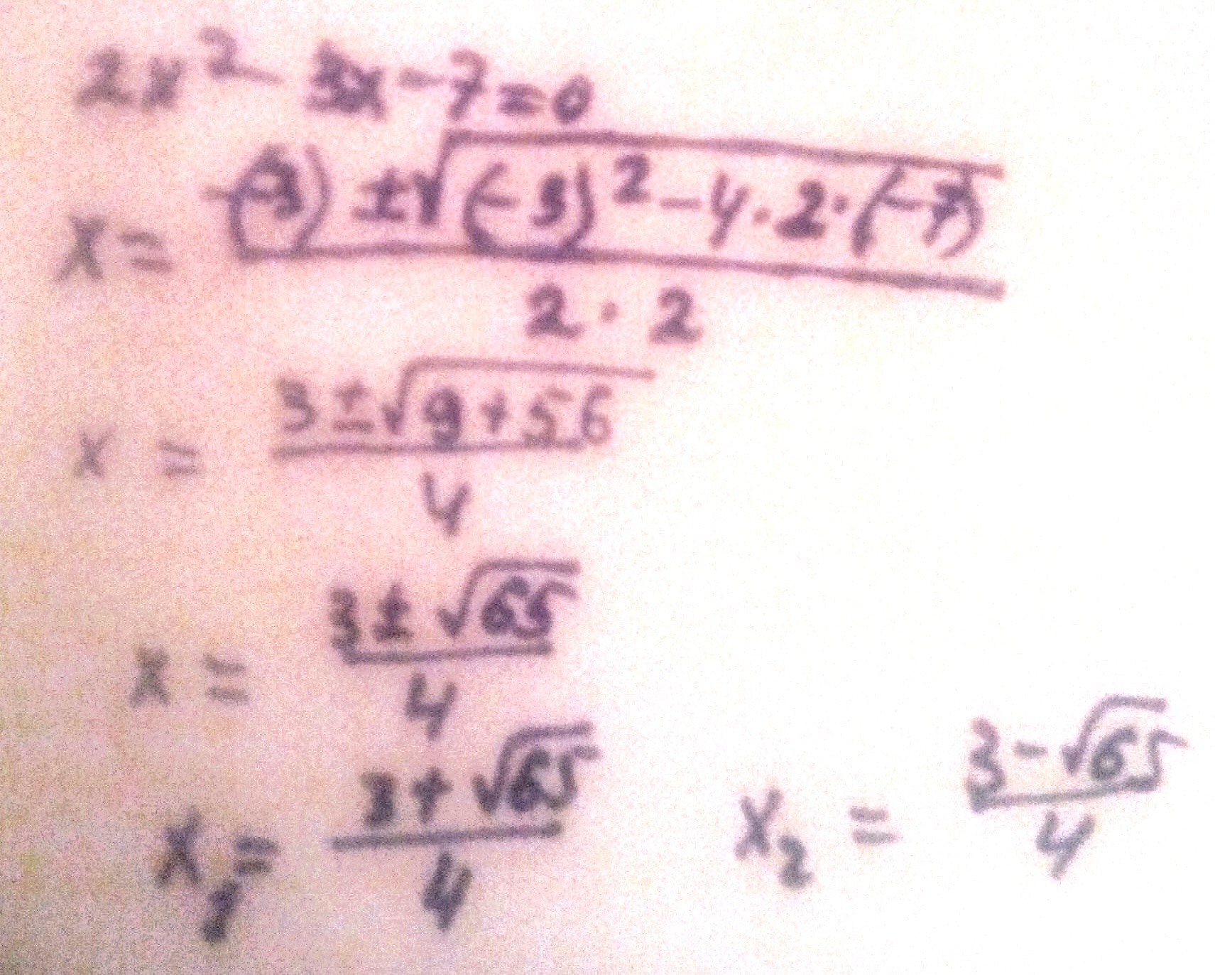
2x²-3x-7=0- решите пожалуйста

Ответы

Ответ дал: ВладимирБ
0
Решение смотри на фото
Приложения:
Ответ дал: Аноним
0
решение есть на фото.
Приложения:
Вас заинтересует